Skip to main content
Industrial Research And Consultancy Centre
Patent
Mn-Ni-Sn Based Full Heusler Alloys for Low Temperature Exchange Bias Applications
Abstract

This patent is for a method of preparation of Ni-Mn based Heusler alloys that achieve never before seen levels of magnetic controllability but also temperature tolerance and tunability for the various applications at hand.

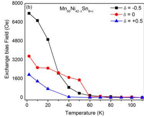
Figure (1) The shifted magnetic hysteresis (M-H) loops to negative field direction (opposite to field cooling (FC) direction) illustrating the exchange bias effect in Mn50Ni42-δSn8+δ (δ = 0, −0.25 and ±0.5) Heusler alloys measured at 2 K after FC process at 10 kOe (2) temperature dependence of EB field (HEB) in these alloys after FC at 10 kOe.

Problem Statement
  • Magnetism based storage devices are the new standard in digital storage technology, with mechanical drives being phased out for solid-sate storage. 
  • Gaining fine control over the properties of the magnetic alloys used for these purposes and making them temperature and damage resistant is a key issue faced by manufacturers of these devices. 
  • This patent is for a method of preparation of Ni-Mn based Heusler alloys that achieve never before seen levels of magnetic controllability but also temperature tolerance and tunability for the various applications at hand.
Uniqueness of the Solution
  • Scalable to higher amounts as required much easier than conventional methods. 
  • Significantly cheaper constituents make this an highly economical mode of preparation. 
  • Easily fine tunable magnetic properties only in this mode of production
  • This method of preparation is easily scalable to higher amounts as required.
  • All the constituents involved are relatively cheap, making this a highly economical mode of preparation.
  • The properties of the alloy can be tuned for the particular specification under this method.
  • In this method samples were prepared using arc melting method followed by rapid quenching.
  • A giant exchange bias effect (EB) was achieved.
  • These properties are retained to temperatures as high as 70 K
  • Fine tuning of the EB blocking temperature and EB field value is possible by a nominal change of Sn concentration by 0.5
Current Status of Technology

Being currently tried for spintronic devices (like a spin valve) in a laboratory setting.

Technology readiness level

4

Societal Impact

Spintronics plays a major role in magnetic recording as well as energy storage devices.

Relevant Industries, Domains and Applications
  • Tunnel magnetoresistance (TMR) junction devices
    • Tunnel magnetoresistance (TMR) junction devices
    • Electronic spin-based magnetic heads/devices
    • Giant magneto-resistance spin heads/sensor devices
  • Shape-memory alloys widely utilise this material in their construction
  • Spin-transfer torque magnetic random access memory (STTRAM) can be made of this material
Applications or Domain
  • Tunnel magnetoresistance (TMR) junction devices
  • Shape memory alloys
  • Electronic spin-based magnetic heads/devices
  • Giant magneto-resistance spin heads/sensor devices
  • Spin-transfer torque magnetic random access memory (STTRAM)

Geography of IP

Type of IP

Application Number

3532/MUM/2014

Filing Date
Grant Number

469393

Grant Date
Assignee(s)
Indian Institute of Technology Bombay
**This IP is owned by IIT Bombay**